21.04.2026 - Bağımsız Denetim Uzmanları Derneği Resmi Web Sitesine Hoşgeldiniz.

Duyuru

MESLEKTAŞLARIMIZA DUYURU;

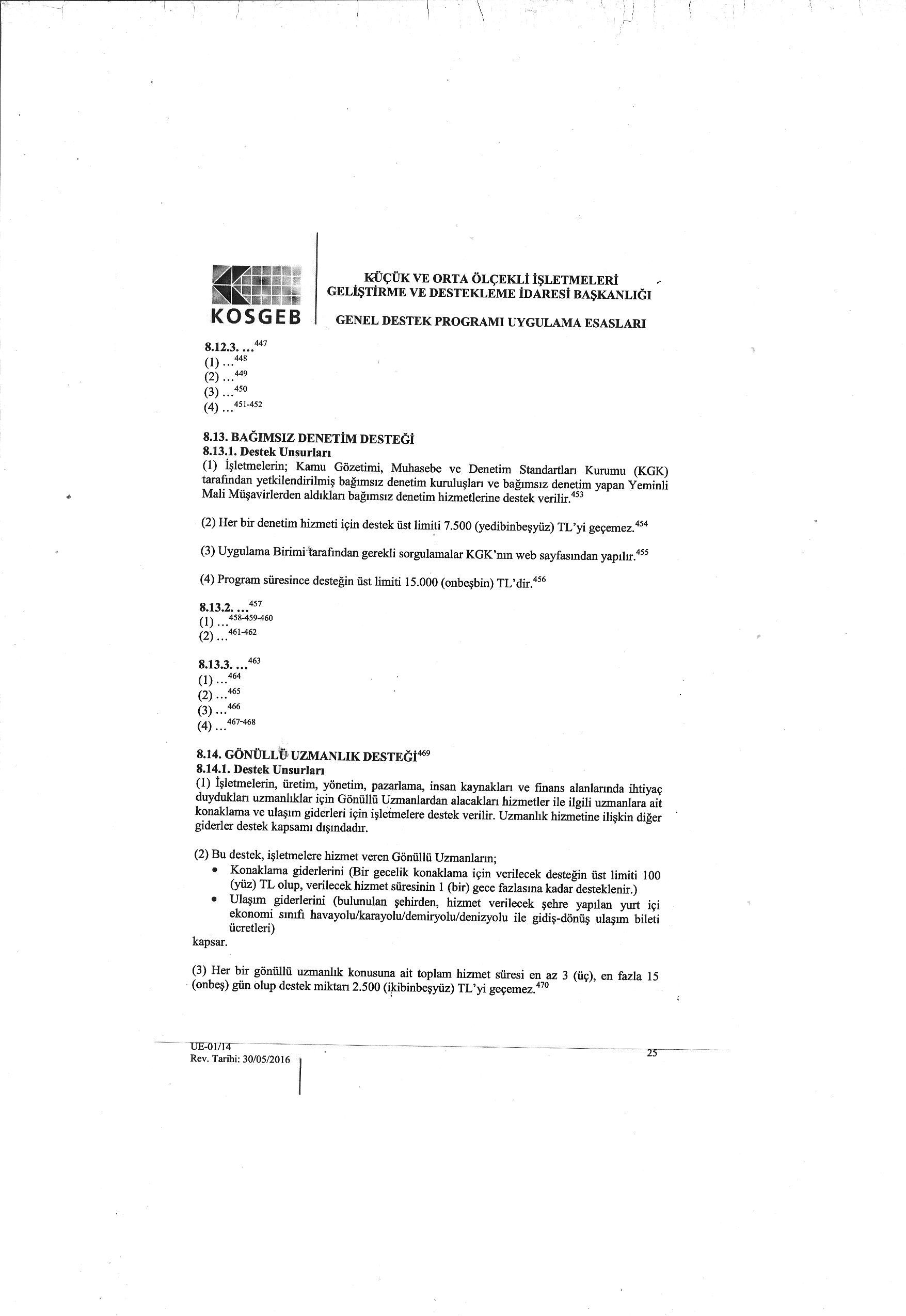
Kamu Gözetim Kurumu ve KOSGEB ile yaptığımız yazışma ve görüşmeler sonucunda
KOSGEB in daha önce bağımsız denetim destek programı uygulama esaslarında SPK dan yetki almış
Denetim firmalarına bağımsız denetim yaptıran şeklindeki ibare KGK tarafından yetkilendirilmiş
Bağımsız Denetim Kuruluşları şeklinde 31/05/2016 tarihinde esaslar revize edilerek değiştirilmiştir.

Durum bilgilerinize sunulur…

Saygılarımızla

BADUDER Yönetim Kurulu

 

KOSKEB

BU KONUYU SOSYAL MEDYA HESAPLARINDA PAYLAŞ
ZİYARETÇİ YORUMLARI

Henüz yorum yapılmamış. İlk yorumu aşağıdaki form aracılığıyla siz yapabilirsiniz.

BİR YORUM YAZ